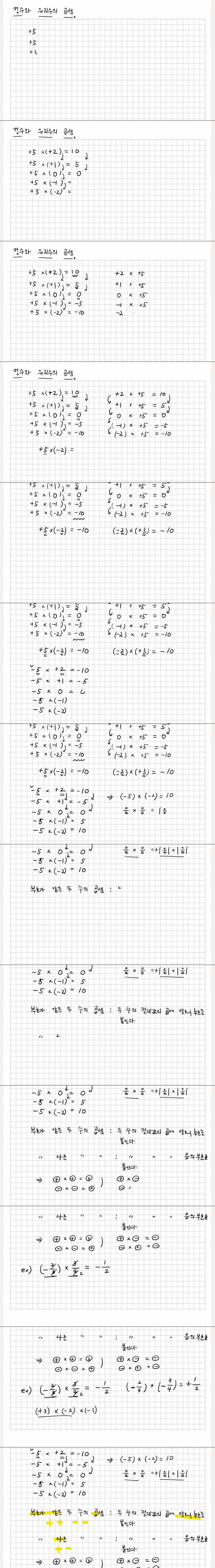
애니메이션 애니메이션 [중1 수학] 중1-1-14. 정수와 유리수의 곱셈 jibori 2026.04.24 5,447 469 다운로드 추천 469 북마크 공유 다운로드 파일 · 1개 [중1 수학] 중1-1-14. 정수와 유리수의 곱셈.mp4 FILE 19.5M 다운로드 TAGS #중1 #수학 #정수와 #유리수의 #곱셈
댓글