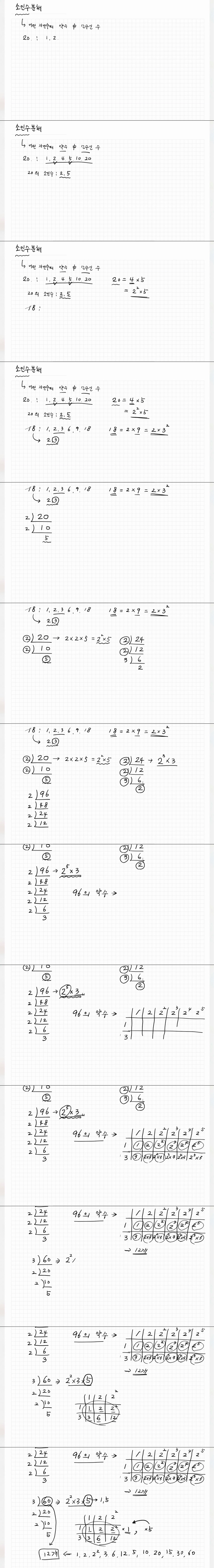
애니메이션 애니메이션 [중1 수학] 중1-1-3. 소인수분해 (쉽게 하는 법) jibori 2026.04.24 7,408 292 다운로드 추천 292 북마크 공유 다운로드 파일 · 1개 [중1 수학] 중1-1-3. 소인수분해 (쉽게 하는 법).mp4 FILE 25.7M 다운로드 TAGS #중1 #수학 #소인수분해 #쉽게 #하는
댓글