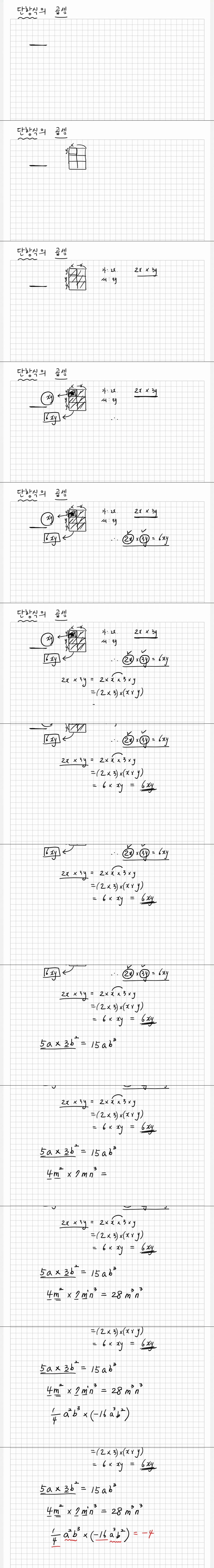
애니메이션 애니메이션 [중2 수학] 중2-2-3. 단항식의 곱셈 (계수는 계수끼리, 문자는 문.. jibori 2026.04.24 5,399 397 다운로드 추천 397 북마크 공유 다운로드 파일 · 1개 [중2 수학] 중2-2-3. 단항식의 곱셈 (계수는 계수끼리, 문자는 문자끼리).. FILE 11.3M 다운로드 TAGS #중2 #수학 #단항식의 #곱셈 #계수는
댓글